قضیه دوجمله ای
قضیّۀ دوجملهای (binomial theorem)


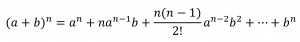
فرمولی[۱] برای به توان[۲] رساندن عبارت دوجملهای، بدون عملیات ضرب[۳].این فرمول در حالت کلی عبارت است از (فرمول ۱) ضریب جملۀ an-rbr برابر است با (فرمول ۲).
فرمول ۱: فرمول ۲:
علامتِ ! نماد فاکتوریل[۴] است. مثلاً a + b)3 = a۳ + ۳a۲b + ۳ab۲ + b۳). این قضیه را نخستینبار آیزاک نیوتون[۵] کشف و آن را در ۱۶۷۶ منتشر کرد.