قطعه (ریاضیات)
قطعه (ریاضیات)(segment)


در هندسۀ مسطحه، بخشی از دایره[۱] یا منحنی، محدود به وتر[۲] و کمانی[۳] که آن را از دایره یا منحنی جدا میکند. بنابراین، در دایره، هر وتر مرز دو قطعه است. مساحت یک قطعۀ دایره برابر (فرمول ۱) است که در آن، r شعاع[۴] دایره و φ اندازۀ زاویۀ مرکزی روبه کمان قطعه، برحسب رادیان، است.
فرمول ۱:
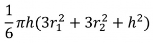
قطعۀ کروی. جسمی است محدود به یک کره و دو صفحۀ موازی. ممکن است دو صفحۀ موازی و کره متقاطع باشند یا یکی متقاطع و دیگری مماس بر سطح کره باشد. فاصلۀ دو صفحۀ موازی را ارتفاع[۵] و مقطع آنها با کره را قاعده[۶]های قطعه میگویند. حجم[۷] قطعۀ کروی[۸] برابر با (فرمول ۲) است که در آن، h ارتفاع و r۱ و r۲ شعاعهای قاعدههایند.
فرمول ۲:سطح محصور بین دو قاعدۀ قطعه را منطقۀ کروی[۹]، و اگر فقط یک قاعده موجود باشد، یعنی یکی از دو صفحۀ موازی مماس بر کره باشد، سطح را عرقچین کروی[۱۰] میخوانند.