منحنی توزیع نرمال
مُنحنی توزیع نرمال (normal distribution curve)

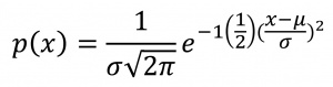
منحنی زنگیشکلی، حاصل از ترسیم نمودار توزیع احتمال نرمال[۱]. توزیع نرمال مفیدترین توزیع احتمال در آمار است که کارل فریدریش گاوس[۲]، ریاضیدان آلمانی، آن را از راه ریاضی و بهصورت توزیع احتمال خطای اندازهگیریها بهدست آورد. بههمین سبب، این نمودار به منحنی گاوسی نیز معروف است. این توزیع نسبت به میانگین[۳] متقارن است و اگر دادههای جمعآوریشده از توزیع نرمال تبعیت کنند، تمرکز دادهها در اطراف مقدار میانگین بیشتر است و با دورشدن از میانگین در هر یک از دو جهت، بهصورت متقارن کمتر میشود. فرمول ریاضی این توزیع چنین است: (فرمول ۱) که در آن، µ میانگین وσ انحراف معیار[۴] است. در این فرمول، اگر میانگین برابر صفر، و انحراف معیار برابر یک باشد، توزیع نرمال استاندارد بهدست میآید. فرمول ۱:
