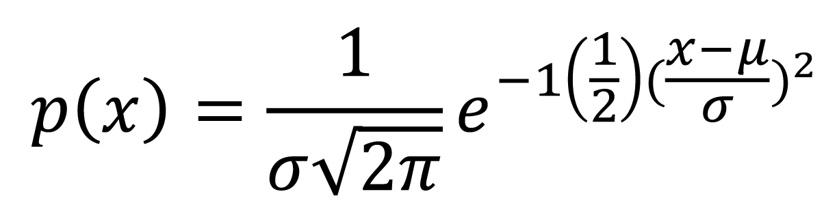
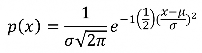
پرونده:38425000-1.jpg
اندازهٔ این پیشنمایش: ۸۰۰ × ۲۱۱ پیکسل. کیفیت دیگر: ۱٬۲۲۳ × ۳۲۲ پیکسل.
پروندهٔ اصلی (۱٬۲۲۳ × ۳۲۲ پیکسل، اندازهٔ پرونده: ۶۵ کیلوبایت، نوع MIME پرونده: image/jpeg)
تاریخچهٔ پرونده
روی تاریخ/زمانها کلیک کنید تا نسخهٔ مربوط به آن هنگام را ببینید.
| تاریخ/زمان | بندانگشتی | ابعاد | کاربر | توضیح | |
|---|---|---|---|---|---|
| کنونی | ۲۱ مهٔ ۲۰۱۷، ساعت ۰۵:۴۶ | ۱٬۲۲۳ در ۳۲۲ (۶۵ کیلوبایت) | DaneshGostar (بحث | مشارکتها) |
شما نمیتوانید این پرونده را رونویسی کنید.
کاربرد پرونده
صفحهٔ زیر از این تصویر استفاده میکند: